

BECAUSE OF MY HARDSHIP THE BANK CUT MY MORTGAGE ALMOST IN HALF PERMANENTLY AND GAVE ME 6 MONTHS OF NO PAYMENTS WITHOUT APPLYING OR PROVIDING ANY DOCUMENTS!
The Results Were Mind Blowing....
And Its Quick! 24 Hours Once I Started.. Giving Us Breathing Room We Needed.
I Can Help, I Just Saved My Home...
I DISCOVERED A PROCESS THAT I NEVER KNEW EXISTED AND I KNOW IT CAN HELP MILLIONS OF PEOPLE...
I DISCOVERED A PROCESS THAT I NEVER KNEW EXISTED AND I KNOW IT CAN HELP MILLIONS OF PEOPLE...
Watch Now - Hear My Story
Meet Shaun Eric
Business Owner, Father, Husband & Someone Who's Been Exactly Where You Are


From my family to yours — I hope this brings you the relief clarity you've been praying for

I more than anyone know what you're dealing with...
The pain, the struggles, the sleepless nights, the stress you're under trying to find a way.
In one of my darkest moments, I wish I had someone I was able to turn to and ask for help, give me advice, and someone to lean on...
But we don't live in a world where hurting, struggling, or asking for help is accepted and shared.
We don't talk about when we're down — we only talk about when we're rich, happy, on top of the world, keeping up with the Joneses.
It's important for me and our community to share not only the good moments but also the bad.
Learning from mistakes and growing as a community, being there and sharing things that will help millions of people — that's what I'm about. That's what's important to me.
I own multiple companies, have made millions of dollars, and have employed thousands of people over the years...
But after living through this process and making it out on top, being able to change the outlook for me and my family...
Being able to see the light at the end of the tunnel in our darkest days has given me the courage to talk about something that most would keep private.
I was able to save my home with this specific process that I know works, and I know by sharing my story it will help others all around the USA.
It's important to push through and not give up. There is light at the end of the tunnel, and this specific process I learned on my journey I am only sharing because I know it will help others. Take the step to take control again — do not let this define you. Learn from my journey. Let's do this together.
Shaun Eric

Proof We Made It! The Process Works...
The Results Were Mind Blowing....
Bank Approval Letter #1

*Personal information blurred for privacy
Bank Approval Letter #2

*Personal information blurred for privacy
Here's Everything You Get
With Access To The Homeowner Survival Playbook
A real–world roadmap that could save your home, lower your payments, and take back control — even when you think it's too late.
Confidence Scripts & PDFs
Word-for-word scripts to use when talking to lenders
Proven Scripts
Exact phrases and responses I used during my successful loan modification
Communication Strategies
Learn how to speak confidently and professionally with bank representatives
Objection Handling
Ready-made responses to common lender pushbacks and concerns
Downloadable PDFs
Print-ready resources you can reference during every call
Never feel lost or confused during lender conversations again. Say the right things at the right time — just like I did.
Official Lender Documentation & Guidelines
Real PDFs from mortgage companies we researched — Journey snapshot with docs, resources & process timeline
Real Bank PDFs
Actual documentation and guidelines from major mortgage companies
Journey Snapshot
Visual timeline showing each step of the loan modification process
Requirements Guide
Know exactly what lenders look for and how to qualify
What's Included:
Loan Modification Application Templates
Hardship Letter Examples
Lender Requirements Checklist
Document Submission Guidelines
Official Lender Contact Information
Step-by-Step Timeline Snapshot
Skip the guesswork. Get insider access to the exact forms, templates, and timelines that banks expect from you.
The Loan Modification Glossary & Term Decoder
Understand every term the bank throws at you — no more confusion
100+ Terms Defined
Every mortgage modification term explained in plain English
Acronym Decoder
Decode HAMP, HARP, NPV, and all the confusing abbreviations
Bank Jargon Translation
Know exactly what banks mean when they use industry terminology
The Family Communication Guide
Keep your family united and informed during this challenging time
Talk to Children
Age-appropriate ways to explain the situation without causing fear
Extended Family
How to discuss finances with relatives while maintaining dignity
Manage Stress
Strategies to handle spouse/partner stress and stay united
Financial Goals
Set realistic family financial goals post-modification
Budget Meetings
Create effective family budget meetings everyone can participate in
The Homeowner Survival Budget Planner
Printable + Google Sheet — Track every dollar and regain control
Printable PDF
Physical workbook you can fill out by hand and keep handy
Google Sheet
Digital version that auto-calculates and syncs across devices
Access to the Homeowner Relief Community
You're not alone — connect with others who understand exactly what you're going through
Private Community
Safe space to share experiences and ask questions without judgment
Real Success Stories
See how others are successfully navigating their loan modifications
Save Your Home, Save Stress — Save Your Sanity
Sleep better knowing you have a clear path forward
Reduce Anxiety
End the sleepless nights worrying about losing your home
Protect Your Family
Give your family the security and stability they deserve
The Complete Breakdown
What This Process Did For Me & My Family...
No Mortgage Payment For 6 Months
Instant Stop - Breathing Room We Desperately Needed
Giving us breathing room for bills, holidays, expenses, and rebuilding. Instant hold, stopping all foreclosure or pre-foreclosure process immediately.
Cut Monthly Payment Almost In Half
Principal & Interest Reduced For Term Of Loan
Extended term of the loan 10 years and lowered the interest rate of the loan, making payments manageable again.
Late Payments Added To Back Of Loan
Allowed Me To Catch Up & Get Back On Track
Late payments and 6 months no payments moved to back of loan, giving us a fresh start without the burden of past due amounts.
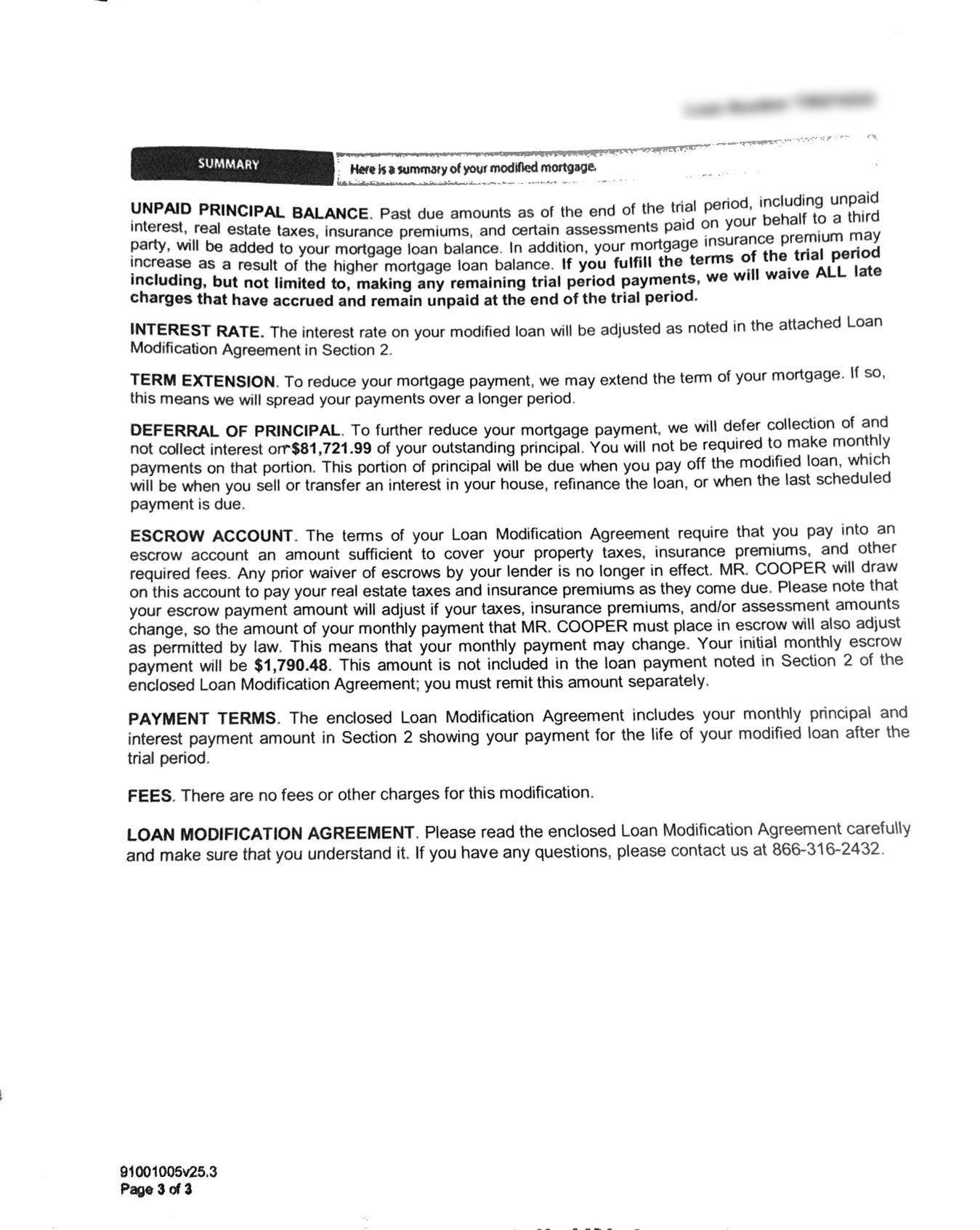
Deferral Of Principal
$81,721.99 Deferred - No Monthly Payments Required
To further reduce mortgage payment, they deferred collection of and did not collect interest on $81,721.99 of outstanding principal. This portion is due when you pay off the modified loan, sell, transfer, refinance, or when the last scheduled payment is due.

APPROVED
I Was Able To Complete This Process Even With...
No Money Down
No Money Out Of Pocket
Super Low Credit Score
Did Not Have To Hire A Lawyer
Did Not Have To Refinance
Did Not Have To Do Income Verification Or Verify Job

30-Day Money Back Guarantee
If you implement my journey and the training, and don't see a positive change in your situation within 30 days, just email us and receive a no-questions-asked refund.